INA • 2020
Needle Roller Bearing Cross Reference
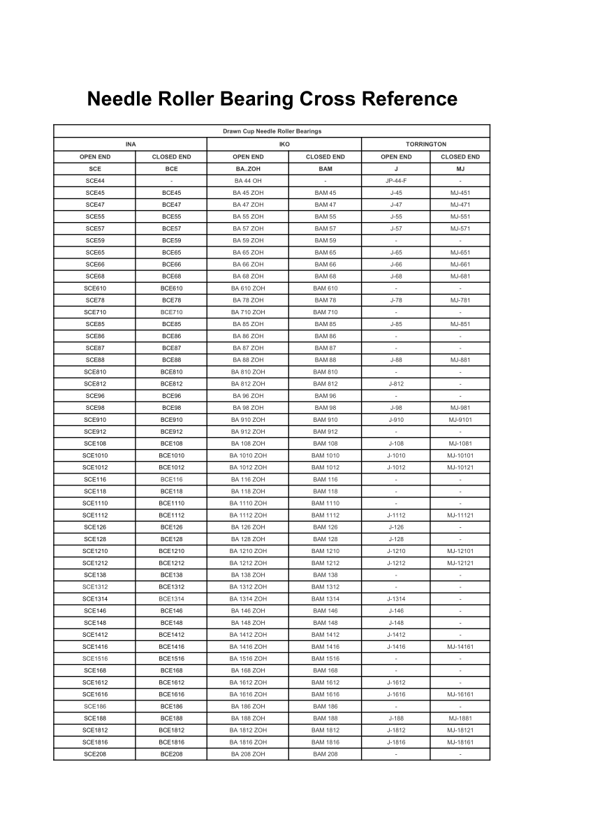
Cross-reference catalog for needle roller bearings and track rollers, covering INA, IKO, Torrington, SKF, FAG, and McGill series with open-end, closed-end, sealed, and outer-ring style tables.
Review published INA cross-reference PDFs and open the underlying catalog pages that support interchange research.
1 published catalog currently match this brand shelf.